DFS (Búsqueda en Profundidad)#
¿Qué es el DFS?
El DFS o búsqueda en profundidad es un algoritmo que permite recorrer todos los nodos de un grafo o árbol de manera ordenada, pero no uniforme.
Expande un nodo hasta que no se pueda más y regresa.
Intuición del DFS#
Su funcionamiento consiste en ir expandiendo todos y cada uno de los nodos que va localizando, de forma recursiva, en un camino concreto.
Cuando ya no quedan más nodos que visitar en dicho camino, regresa y repite el mismo proceso con los hermanos del nodo ya procesado.
Estrategia del DFS#
Como su nombre lo indica, busca cada vez más profundo en el grafo, mientras sea posible.
Explora las aristas desde el vértice \(v\) descubierto más recientemente y que aún tiene aristas sin explorar.
Cuando todas las aristas de \(v\) han sido exploradas, la búsqueda se devuelve para continuar con los vértices anteriores.
Este proceso continúa hasta que se descubran todos los vértices alcanzables desde el vértice original.
Si aún existen vértices sin visitar, DFS selecciona alguno de ellos como nuevo origen y repite la búsqueda.
Grafo de predecesores en DFS#
Siempre que DFS descubre un vértice \(v\) durante el escaneo de la lista de adyacencia de un vértice \(u\) ya descubierto, se registra este evento estableciendo el atributo de predecesor:
$\(v.π = u\)$A diferencia del BFS (que genera un único árbol BF), el subgrafo de predecesores en DFS puede estar compuesto por varios árboles DF, ya que la búsqueda puede repetirse desde múltiples orígenes.
Definición formal del subgrafo de predecesores#
Sea un grafo \(G = (V, E)\) con vértice origen \(s\). Se define el subgrafo de predecesores \(G_{π}\) como: \(G_{π} = (V, E_{π})\) donde
El grafo de predecesores \(G_{π}\) producido por DFS forma un bosque DF, compuesto por varios árboles DF.
Seguimiento del progreso del DFS#
Como en BFS, DFS colorea los vértices durante la búsqueda para indicar su estado.
Cada vértice comienza blanco, pasa a gris cuando es descubierto, y se torna negro cuando su lista de adyacencia ha sido completamente examinada.
Color |
Significado |
|---|---|
Blanco |
No descubierto |
Gris |
Descubierto, pero con vecinos sin explorar |
Negro |
Todos sus vecinos han sido explorados |
Esta técnica garantiza que cada vértice termine exactamente en un árbol DF y que estos árboles sean disjuntos.
Información adicional generada por DFS#
DFS asigna timestamps (marcas de tiempo) a cada vértice.
Cada vértice \(v\) tiene dos marcas de tiempo:
Atributo |
Descripción |
|---|---|
\(v.d\) |
Momento en que \(v\) se descubre por primera vez |
\(v.f\) |
Momento en que finaliza el examen de la lista de adyacencia de \(v\) |
Estas marcas de tiempo proveen información importante acerca de la estructura del grafo y se utilizan para razonar sobre el comportamiento del DFS.
Suposiciones antes de presentar el algoritmo#
El grafo de entrada \(G = (V, E)\) se representa mediante listas de adyacencia.
Cada vértice tiene los siguientes atributos:
u.color: color del vérticeu.π: predecesoru.d: tiempo de descubrimientou.f: tiempo de finalización
Los timestamps son enteros entre \(1\) y \(2|V|\), ya que hay un evento de descubrimiento y uno de finalización por cada vértice.
Para cada vértice \(u \in V\) se cumple \(u.d < u.f\).
La variable
tiempoes global y controla las marcas de tiempo.El grafo \(G\) puede ser dirigido o no dirigido.
Pseudocódigo del DFS#

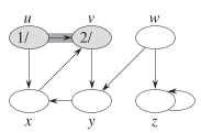
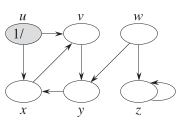
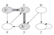
Ejemplo visual del funcionamiento del DFS#

Ejemplo paso a paso#

Complejidad temporal#
\(O(V + E)\)
Donde:
\(V\) = número de vértices
\(E\) = número de aristas
Propiedades importantes del DFS#
1. Estructura del bosque DF#
El subgrafo de predecesores \(G_π\) forma un bosque de árboles DF. La estructura de estos árboles refleja exactamente las llamadas recursivas al procedimiento
DFS-VISIT.\(u = v.π\) si y solo si
DFS-VISIT(G, v)fue llamado durante la exploración de la lista de adyacencia de \(u\).\(v\) es descendiente de \(u\) si y solo si se descubre durante el tiempo en que \(u\) es gris.
2. Propiedad de paréntesis#
Los tiempos de descubrimiento y finalización tienen una estructura de paréntesis bien formada.
Si representamos el descubrimiento de un vértice \(u\) con “(u” y su terminación con “u)”, la secuencia completa forma una expresión correctamente anidada.

Clasificación de aristas#
DFS permite clasificar las aristas en cuatro tipos:
Tipo de arista |
Descripción |
|---|---|
Aristas de descubrimiento |
Conducen al descubrimiento de nuevos vértices. También se llaman aristas de árbol. |
Aristas de retorno |
Conducen a vértices antecesores ya visitados en el árbol. |
Aristas de avance |
Conducen a vértices descendientes en el árbol. |
Aristas de cruce |
Conducen a vértices que no son ancestros ni descendientes o que pertenecen a distintos árboles DF. |
