Montículos#
¿Qué es un montículo o heap?
Es un arreglo que puede verse como un árbol binario casi completo.
Cada nodo del árbol corresponde a un elemento del arreglo.
El árbol se encuentra lleno en casi todos sus niveles: - Con la excepción de posiblemente el nivel más bajo. - Este se encuentra lleno desde la izquierda hasta cierto punto.
¿Qué nos dice esta última propiedad sobre la forma de un montículo?
El árbol está lleno en casi todos sus niveles con excepción de posiblemente el último.
- La longitud de toda rama es \(h\) o \(h-1\), donde \(h\) es la altura del árbol.El último nivel se llena de izquierda a derecha. - No puede existir una rama de longitud \(h\) a la derecha de una rama de longitud \(h-1\).
¿Cuál es la altura de un nodo del montículo?
Es el número de aristas en el camino simple más largo desde el nodo hasta la hoja.
¿Cuál es la altura del montículo?
Al estar basado en un árbol binario completo, es:
\[ \Theta (\log n) \]
Ejemplo de un montículo:

¿Cómo es ese arreglo \(A\) que representa al montículo?
Es un arreglo con dos atributos:
\(A.length\) → Número de elementos del arreglo.
\(A.heap\_size\) → Número de elementos del montículo dentro del arreglo.
\(A[1..A.length]\) puede contener números.
Solamente los elementos \(A[1..A.heap\_size]\), donde \(0 \leq A.heap\_size \leq A.length\), son válidos.
¿Qué más se puede decir de ese arreglo \(A\)?
La raíz del árbol es \(A[1]\).
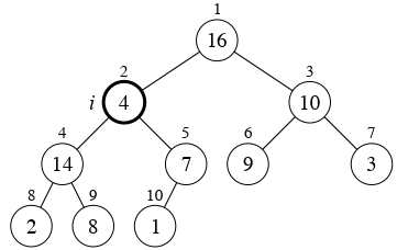
El padre de \(A[i]\) es:
\[ A[\lfloor i/2 \rfloor] \]El hijo izquierdo de \(A[i]\) es:
\[ A[2i] \]El hijo derecho de \(A[i]\) es:
\[ A[2i+1] \]El cómputo de estas operaciones es rápido utilizando la representación binaria.
¿Cuáles son los dos tipos de montículos?
Max-heap
Para todos los nodos $\(i\)$, excluyendo la raíz:
\[ A[Padre(i)] \geq A[i] \]
Min-heap
Para todos los nodos $\(i\)$, excluyendo la raíz:
\[ A[Padre(i)] \leq A[i] \]
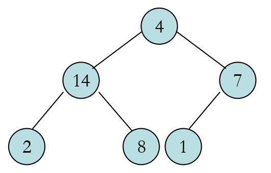
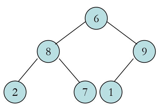
Ejemplos de montículos
Analicemos las propiedades de orden y forma de estos montículos:
Ejemplo 1

Ejemplo 2

Ejemplo 3

Ejemplo 4

Ejemplo 5

Ejercicios#
Indique si se cumplen las propiedades de orden y de forma para los siguientes montículos:
Ejercicio 1

Ejercicio 2

¿Cómo se almacenan los elementos de un montículo en el arreglo?
Los datos se almacenan en el arreglo recorriendo, por niveles, de izquierda a derecha.

Ejercicio adicional
Indique si se cumplen las propiedades de orden y de forma para:
\(A=\{20, 10, 5, 4, 3, 1\}\) donde \(heap\_size[A]=6\) y \(length[A]=6\)
\(A=\{8, 4, 2, 1, 7, 9\}\) donde \(heap\_size[A]=4\) y \(length[A]=6\)
Ejercicio

Operaciones en montículos#
¿Cuáles son las operaciones más importantes que se realizan con montículos?
HEAPIFY: \(O(\log n)\)
BUILD-HEAP: \(O(n)\)
HEAPSORT: \(O(n \log n)\)
¿Qué hace la operación HEAPIFY?
Es importante para manipular montículos.
Se usa para garantizar la propiedad de orden del montículo.
¿Qué hace la operación MAX-HEAPIFY?
Se usa para garantizar la propiedad de orden del max-heap.
Antes de aplicar MAX-HEAPIFY, \(A[i]\) puede ser menor que sus hijos.
Se asume que los subárboles izquierdos y derechos son max-heaps.
Luego de MAX-HEAPIFY, el subárbol con raíz \(i\) es un max-heap.
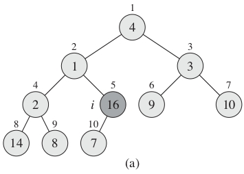
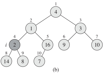
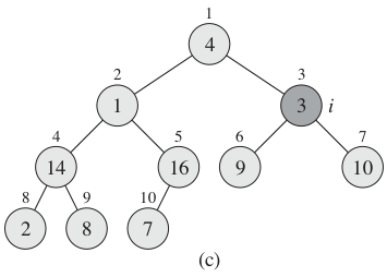
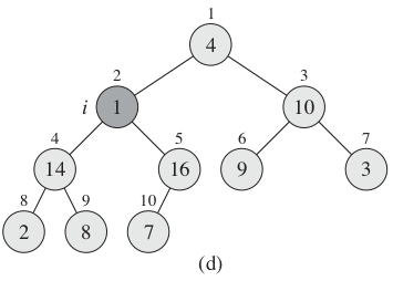
Algoritmo MAX-HEAPIFY

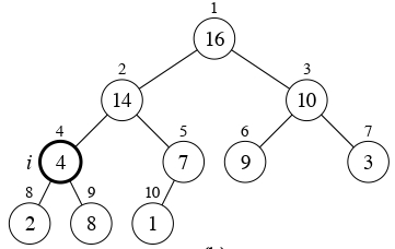
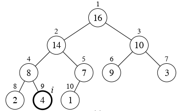
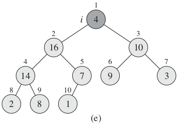
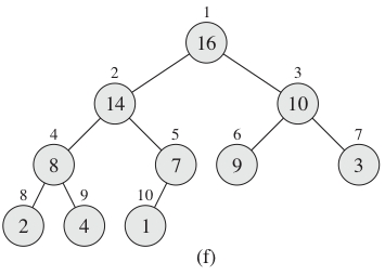
¿Cómo funciona el MAX-HEAPIFY?
Compara $\(A[i], A[LEFT(i)], A[RIGHT(i)]\)$.
Si es necesario, intercambia \(A[i]\) con el mayor de sus hijos para preservar la propiedad del max-heap.
Continúa con el proceso bajando sobre el montículo hasta que el subárbol con raíz \(i\) sea un max-heap.
Ejemplo de MAX-HEAPIFY



Ejercicios#
Aplicar el algoritmo MAX-HEAPIFY(A, 1) en los siguientes casos:
Ejercicio 1

Ejercicio 2

¿Qué hace la operación BUILD-MAX-HEAP?
Utiliza MAX-HEAPIFY para convertir un arreglo \(A[1..n]\) en un max-heap.
Algoritmo BUILD-MAX-HEAP

Ejemplo de BUILD-MAX-HEAP






Ejercicio
Aplique BUILD-HEAP(A) para:
con \(heapsize(A) = 10\)